Skip to main content
Skip to navigation
Skip to footer
de
en
Institute
Jülich Supercomputing Centre (JSC)
News
News items
▾
Press releases
▾
News flashes
▾
Newsletter "JSC News"
Events
▾
Calendar
▾
Training courses
▾
Seminars, colloquia, and talks
▾
Workshops, schools & conferences
▾
Exhibitions
Social Media
▾
Twitter
▾
YouTube
▾
Blogs
▾
Instagram
Research
Strategic research domains
▾
Materials science
▾
Neuroscience
▾
Earth system science
▾
Quantum computing
Further research domains
▾
Biology
▾
Plasma physics
▾
Fluids & solids engineering
▾
Elementary particle, nuclear and astrophysics
Cross-domain research
▾
System architecture design
▾
Enabling data-intensive science
▾
Cross-domain HPC application support
▾
Mathematical models and methods
▾
Artificial Intelligence – Research and Application
Projects
▾
Highlight projects
▾
EU-funded projects
▾
BMBF-funded projects
▾
NRW-funded projects
▾
DFG/DAAD-funded projects
▾
Other funding
Publications
▾
Highlight publications
▾
Publications by year
▾
Publications by author
▾
Journal articles
▾
Contributions to proceedings
▾
Books, reports
▾
Theses
▾
Software
▾
IAS Series
Systems
Supercomputers
▾
JUPITER
▾
JUWELS
▾
JURECA
▾
JUSUF
▾
Apply for test access
▾
Apply for computing time
▾
Calls for proposals
▾
Research fields and origin of users
▾
Contact
Prototype systems
▾
DEEP system
Quantum computing
▾
JUNIQ facility
▾
JUNIQ access, service & support
Storage systems
▾
JUST
▾
JUDAC
▾
dCache
Scientific clouds
▾
JSC Cloud
Services
User Support
▾
Getting access to systems
▾
Using systems
▾
Project mentoring
▾
Software & Tools
▾
Advanced topics
▾
JSC HPC Support Corner
Data services
▾
Data projects
▾
Generic services
▾
Community data services
▾
Processing personal data
Scientific communities
▾
Simulation and Data Labs
▾
Jülich CECAM node
▾
Special community services
Industry relations
▾
Existing relations
▾
Get in contact
Network services (FZJ-internal)
▾
Computer registration for JuNet
▾
Virtual Private Network (VPN)
▾
WLAN
▾
Cabling order
▾
Certificates
▾
Video and web conferences via DFN
▾
IT security
▾
Documentation
Education
Trainees & Bachelor students
▾
MaTSE Training with dual Bachelor Course
Master students
▾
Master course Applied Mathematics and Computer Science
▾
Guest student programme
▾
PRACE Summer of HPC
▾
Open positions for students
Doctoral researchers
▾
Open positions for doctoral researchers
Training courses for users
▾
Course calendar
▾
Training Materials
▾
Request course resources (for course instructors)
About us
Profile
▾
Staff
▾
Professorships
▾
Awards
▾
How to reach us
▾
Cooperations
Structure
▾
Organizational chart
▾
Divisions
▾
Research groups
▾
Simulation and Data Labs
▾
Algorithms, Tools and Methods Labs
Contacts
▾
Director, JSC Office
▾
Administration
▾
User support
▾
Industry relations, cooperations
▾
MaTSE, study courses
Job offers
▾
Professionals
▾
PhD candidates
▾
University students
/
About us
/
Structure
/
Algorithms, Tools and Methods Labs
/
ATML Advanced Time Integrators
/
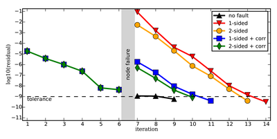
fault_tolerance.png
fault_tolerance.png
Size: 1.76 MB — Click to download full sized image
Last Modified: 04.10.2025